La Modélisation de la Turbulence dans une Enceinte avec Ouvertures et Sources Chaudes Localisées


MARC DUPUIS*, EDGAR DERNEDDE* et JEAN-CLAUDE METHOT**

*Centre de Recherche et Développement, Alcan International Limitée, Jonquière, QC, Canada G7S 4K8

**Département de génie chimique, Université Laval, Ste-Foy, QC, Canada GIK 7P4

La circulation de l'air dans une enceinte avec plusieurs ouvertures et sources chaudes localisées a été étudiée à l'aide d'un modèle mathématique. Après plusieurs comparaisons avec les circulations observées dans une maquette, on a constaté qu'un modèle de turbulence devait être introduit pour améliorer la simulation mathématique. Deux modèles de turbulence, basés sur le modèle algébrique et sur le modèle différentiel (K-e-G) de la viscosité turbulente, ont fait l'objet d'investigations. Le modèle différentiel a apporté peu d'amélioration aux résultats et a augmenté de beaucoup le coût d'opération par rapport au modèle algébrique. L'utilisation du modèle différentiel n'était donc pas justifiée pour ces simulations.

L'effet combiné de la convection forcée à travers l'enceinte et de la convection naturelle au voisinage des sources chaudes, a été simulé dans le but d'étudier la circulation de l'air et de la température dans une salle de cuves d'électrolyse de l'aluminium.

The air circulation inside an enclosure with multiple openings and local heat sources was studied by means of a mathematical model. After a number of comparisons to studies in an experimental apparatus, it was concluded that a turbulence model should be introduced in order to improve the mathematical simulation. Two turbulence models, one based on the algebraic and the other on the differential (K-e-G) model of the turbulent viscosity, were investigated. The differential model provided only small improvements in the results and increased the running costs substantially when compared to the algebraic model. Hence the utilisation of the differential model was not justified in these simulations.

The combined effect of the forced convection through the enclosure and the natural convection from the heat sources was simulated in an attempt to study the air circulation and the air temperature inside the building of an aluminum reduction plant.


Mots clés: modélisation, turbulence, convection libre, ventilation.


Une des approches utilisées afin d'améliorer la qualité de l'air dans une salle de cuves consiste à modifier la circulation de cet air dans la bâtisse. Cette circulation est causée par la ventilation, souvent forcée, de la bâtisse et par la convection naturelle autour des cuves, lesquelles dégagent une grande quantité de chaleur. En général, la simulation physique à l'aide des maquettes est utilisée dans ce genre d'études, mais les progrès récents dans les méthodes numériques et les ordinateurs ouvrent une voie intéressante à l'utilisation de la simulation mathématique.

Depuis plusieurs années, beaucoup de travail numérique a été accompli, soit dans le domaine de la convection forcée ou de la convection naturelle. Peu d'ouvrages ont été publiés sur des systèmes où l'effet combiné de la convection forcée et de la convection naturelle détermine l'écoulement d'un fluide dans une enceinte ouverte. Voici quelques travaux sur des géométries différentes que l'on retrouve dans la littérature.

Piva et Orlandi (1975), et aussi Humphrey et To (1986), ont étudié l'écoulement dans une enceinte carrée et chauffée, laquelle était attachée à un conduit en convection forcée. Nielsen et al. (1979) ont étudié la circulation turbulente de l'air dans une enceinte rectangulaire avec une source de chaleur étendue sur tout le plancher. Patankar et al. (1978), et plus tard Sparrow et Samie (1982), ont étudié la circulation de l'air dans un cylindre partiellement ouvert aux deux extrémités et chauffé sur les murs. Blay et al. (1986) et Yang et Lloyd (1985) ont examiné la convection mixte de 1'air dans une enceinte rectangulaire et ouverte, laquelle était chauffée à l'intérieur par une source locale.

Dans ces travaux, la géométrie était relativement simple et le but était d'explorer les différents écoulements possibles dans les systèmes simultanément en convection forcée et naturelle. Par contre, Dupuis et al. (1985) se sont adressés à un problème industriel, soit l'écoulement turbulent de l'air dans une enceinte semblable à une salle de cuves. Seulement un modèle algébrique de turbulence a été utilisé et la géométrie de l'enceinte était rectangulaire.

Ici, nous reprenons le travail de Dupuis et al. (1985) et nous présentons un résumé des travaux de recherches sur la simulation mathématique avec des modèles de turbulence de diverses complexités dans une enceinte à toit incliné.

Le modèle d'écoulement

Le fluide a été considéré comme incompressible et l'hypothèse de Boussinesq pouvait encore être appliquée dans les conditions thermiques de l'enceinte (Gray et Giorgini, 1976). Les équations différentielles de la vorticité, de la température et de la fonction de courant forment le modèle mathématique de l'écoulement bidimensionnel (Anderson et al., 1984). Ces équations ont été résolues par une méthode transitoire en différences finies.

Le modèle emploie la méthode ADI pour résoudre les équations de la vorticité et de la température. La méthode SOR a été utilisée pour résoudre


la fonction de courant, après que le paramètre de surrelaxation ait été optimisé à F = 1.81. Pour minimiser le déphasage entre la vorticité aux limites et la vorticité à l'intérieur, des itérations ont été intégrées au modèle. Les termes convectifs ont été évalués selon la méthode du "donor cell".

Les détails de ce modèle ont été présentés dans une publication antérieure (Dupuis et al., 1985). Seulement la géométrie du toit de l'enceinte a été modifiée et son inclinaison a été déterminée par le maillage rectangulaire. Les conditions aux limites du toit étaient similaires à celles d'un coin adiabatique.

Ce modèle permet de traiter des problèmes de convection naturelle jusqu'à des valeurs du nombre de Grashof de 2 x 1010 sans problème de stabilité numérique. Cependant, l'écoulement n'est plus laminaire à ces grandes valeurs du nombre de Grashof et on note un écart entre la solution numérique du type laminaire et la solution expérimentale. C'est en ce point que stimpose un modèle de turbulence dans la simulation numérique de l'écoulement.

Les modèles de turbulence

Si le problème des fluides laminaires est relativement simple à résoudre, le calcul des fluides turbulents par les équations de Navier-Stokes et celles des tensions de Reynolds est encore un domaine en pleine expansion. Depuis 1970, on trouve plusieurs applications de divers modèles de turbulence dans la littérature. Rodi (1979), Bradshaw et al. (1981) et Kumar (1983) ont présenté des revues sur les modèles de turbulence couramment utilisés dans les simulations de la convection naturelle ou forcée.

La modélisation de la turbulence est abordée de deux façons différentes, soit par la viscosité turbulente ou par les équations de transport des tensions de Reynolds. Étant donné que la deuxième approche ne semble pas donner de meilleurs résultats présentement, c'est celle de la viscosité turbulente qui a été retenue dans les présents travaux.

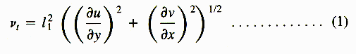
Les premiers modèles de la viscosité turbulente ont été développés par Prandtl. Une équation algébrique est basée sur les gradients de vitesse:

La valeur de la constante "l1" est déterminée par comparaison avec les résultats expérimentaux et peut varier fortement d'un écoulement à l'autre. Même si ce modèle a eu beaucoup de succès pour des simulations de couche limite près des parois ou des jets libres, il pose des difficultés pour les écoulements avec recirculation où les gradients de vitesse peuvent atteindre une valeur nulle. Pour cette raison, ce modèle n'a pas été utilisé.

Une autre équation algébrique est basée sur les vitesses de l'écoulement:

Ici aussi, une constante "l2" est à déterminer. Cette équation semble mieux s'appliquer dans les écoulements avec recirculation et sera appelée le "modèle algébrique".

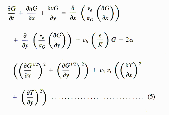
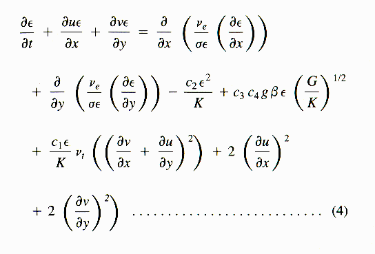
Dans le but d'éliminer les constantes ajustables dans les modèles précédents, Prandtl et Kolgomorov ont proposé des équations de transport pour déterminer la viscosité turbulente. Depuis, la modélisation de la convection forcée à l'aide de deux équations, le modèle K-e, est devenu très populaire. Nous avons choisi trois équations de transport, soit le modèle K-e-G, pour bien tenir compte de la convection naturelle.

Étant donné que le présent écoulement est laminaire près des parois et turbulent au-dessus des cuves, le modèle K-e-G modifié pour l'écoulement à nombre de Reynolds faible a été adopté (Plumb et Kennedy, 1977); il comprend les équations suivantes:

Énergie cinétique turbulente K:

Dissipation de l'énergie turbulente:

Fluctuations carrés de la température G:

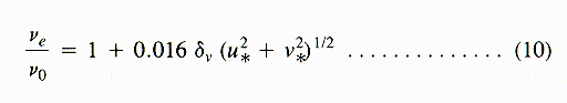
La viscosité effective à chaque position est donnée par les équations suivantes:


La fonction F tient compte de la diminution de la viscosité turbulente près des parois.

Ce modèle de turbulence ajoute trois équations différentielles à résoudre et comprend dix constantes à ajuster. Toutefois, l'expérience a démontré que ces constantes varient moins d'un écoulement à l'autre que les constantes des modèles algébriques. Les valeurs suivantes ont été tirées de la littérature (Spalding, 1971; Plumb et Kennedy, 1977) et ont été utilisées dans ces travaux:

Les valeurs initiales des variables K, e et G ont été mises à zéro en tout point de l'enceinte. Sur les parois, ces valeurs sont demeurées égales à zéro. Aux entrées, les valeurs ont été fixées comme suit:

Ces valeurs ont donné la même viscosité turbulente aux entrées que le modèle algébrique. À la sortie de l'enceinte, les gradients de ces trois variables étaient nuls. Ces conditions aux limites n'ont pas causé d'instabilité numérique.

Plusieurs chercheurs ont trouvé expérimentalement que la valeur du nombre de Prandtl turbulent de l'air varie entre 0.5 et 1.0, ce qui est voisin de la valeur du nombre de Prandtl laminaire de 0.71. Ces résultats ont justifié la simplification qui veut que ces deux nombres soient égaux.

La maquette

Une maquette a été construite afin de vérifier expérimentalement les résultats de la simulation mathématique. La géométrie de la maquette représente une tranche d'une salle de cuves à l'échelle de 1:24. La figure 1 donne un aperçu de ce montage avec les principales dimensions. Les conditions d'opération dans la maquette sont telles que le nombre de Grashof est égal à 1.3 x 1010.


Figure 1-Schéma de la maquette.

I1 y a trois entrées d'air sur le plancher et deux sur les murs. I1 y a une seule sortie dans le toit, où l'air est aspiré par un ventilateur à travers un orifice calibré. Des conduites ont été ajoutées aux entrées et à la sortie afin de mieux reproduire les conditions aux limites du modèle mathématique. En effet, une partie de la sortie a été incluse dans les calculs du modèle. Le plancher a été conçu de façon modulaire afin de former une géométrie variable. De plus, les entrées murales peuvent être remplacées par des murs.

Les deux sources de chaleur au plancher, lesquelles représentent les cuves d'électrolyse, sont des éléments chauffants dans des blocs d'acier de 0.0621 m de hauteur, 0.0980 m de largeur et de pleine profondeur. Chaque source de chaleur dégageait 75 watts dans l'enceinte selon un wattmètre. La température des sources de chaleur était d'environ 130°C selon la circulation de l'air. La température de l'air aux entrées était égale à 20°C. Les pertes de chaleur ont été minimisées par une épaisse isolation autour de la maquette.

Les blocs d'acier étaient vides au centre pour presque toute la profondeur de ceux-ci et de la fumée passait dans cet espace par un trou à côté de l'élément chauffant. L'écoulement de l'air a été visualisé à l'aide de fumée émise au travers de petite trous sur la surface des cuves. Les lignes de courant ont été tracées à la main après l'étude détaillée de plusieurs photographies et films de la maquette en opération. L'anémomètre de DISA du type SSK14-SSK20-SSP86 a été utilisé pour les lectures de vitesse de l'air à chaque entrée de la maquette. La répartition des débits aux entrées n'était pas contrôlée.

La vitesse de l'air a été évaluée à 61 endroits à l'intérieur de la maquette à l'aide de cet anémomètre. La direction de l'écoulement a été déterminée par l'injection de fumée à chaque point de lecture. À partir de ces données et de l'équation de la fonction de courant, les lignes de courant expérimentales ont été obtenues. La température de l'air a été évaluée à 72 endroits par 72 thermocouples J de gauge 24 installés en permanence. Les points de lecture correspondaient chaque fois à un noeud du maillage du modèle mathématique.


Les résultats

Bien que quatre opérations différentes de l'enceinte soient présentées dans cette section, l'emphase est mise sur les deux premiers cas qui ont servi à ajuster les paramètres des modèles de turbulence. Les deux autres cas ont servi à vérifier la pertinence des modèles de turbulence ainsi que la souplesse du modèle mathématique.

Les résultats de la simulation ont été obtenus avec un maillage grossier de 1131 noeuds, soient 39 lignes et 29 colonnes (dx = 0.01698 et dy = 0.03571). Environ 100 noeuds se trouvaient à l'extérieur du domaine d'écoulement étant donné l'existence de la pente du toit et de la sortie. La valeur de dt = 0.0000005 a été utilisée en tenant compte du coût du temps de calcul sur l'ordinateur IBM 4341. La convergence vers l'équilibre à partir de zéro nécessitait environ 800 pas dans le temps.

Les résultats des simulations mathématiques sont maintenant comparés à ceux de la maquette:

Figure 2 - CAS 1: L'écoulement expérimental
	   a)	profil d'écoulement expérimental
  	   b)	lignes de courant expérimentales

CAS 1: MURS FERMÉS ET CUVES FROIDES

Dans le présent cas, l'enceinte avait trois entrées sur le plancher et le débit à la sortie était égal à 0.0085 m3/s. Le débit était réparti comme suit: 50% dans l'entrée centrale et 25 % dans chaque entrée latérale au plancher. La vitesse de l'air aux entrées était constante et égale à 0.23 m/s.

Les résultats expérimentaux sont montrés à la figure 2. Le profil d'écoulement, réalisé qualitativement à partir de d'observation directe des films de la maquette, est en bonne concordance avec les lignes de courant obtenues à partir des lectures de vitesse dans la maquette. Les deux interprétations de l'écoulement mettent en évidence les six boucles de recirculation et les courants descendants au-dessus de chaque cuve. L'écoulement au-dessus des entrées est non-stationnaire tandis que l'écoulement au-dessus des cuves est stationnaire.

I1 faut cependant souligner que deux types d'écoulement ont pu être observés près des murs de la maquette. Le premier type, où les jets d'air des entrées latérales moment directement au plafond, a été observé pendant moins d'une heure après le départ de la convection forcée. Après cette période, l'écoulement se transforme irréversiblement et adopte le deuxième type où les jets latéraux s'inclinent vers les murs par l'effet Coanda.

Trois simulations ont été réalisées avec le modèle mathématique soient: sans aucun modèle de turbulence, avec le modèle algébrique et avec le modèle K-e . La figure 3 montre les résultats calculés. Sans modèle de turbulence, les trois jets d'air provenant des entrées se dirigent directement au plafond et les recirculations au-dessus de chaque cuve sont asymétriques. Le modèle algébrique a amélioré les résultants légèrement et le modèle K-e a simulé presque le même écoulement que celui de la maquette. Une comparaison quantitative entre ces simulations est démontrée au tableau 1.

Figure 3 - CAS 1: L'écoulement simulé
	   a)	aucun modèle de turbulence (partie gauche)
		modèle algébrique de turbulence (partie droite)
	   b)	modèle K-e de turbulence


TABLEAU 1

Cuves froides - la somme des carrés des erreurs de la fonction de courant

La somme des carrés des erreurs de la fonction de courant a été établie à partir des résultats expérimentaux. Après plusieurs essais, la valeur du paramètre ''dv'' a été évaluée à 0.286 pour le modèle algébrique.

Cette simulation a permis de reproduire les six boucles de recirculation, mais les boucles près des murs étaient toujours trop grandes. Donc, le modèle algébrique a simulé seulement l'écoulement expérimental le moins stable: ceci explique la haute somme des carrés des erreurs. Mais le modèle K-e a réussi à simuler l'effet Coanda et, par conséquence, a réduit la somme des carrés des erreurs.

CAS 2: MURS FERMÉS ET CUVES CHAUDES

Figure 4 - CAS 2: Les résultats expérimentaux
	   a)	lignes de courant expérimentales
	   b)	profil d'écoulement expérimental
	   c)	isothermes expérimentales

Dans ce cas, les sources de chaleur ont été mises en opération, les autres conditions ont été les mêmes que dans le cas précédent. La figure 4 montre les résultats expérimentaux comme le profil d'écoulement, les lignes de courant et les isothermes.

Cette fois, le profil d'écoulement démontre un courant d'air ascendant au-dessus des cuves et quatre boucles de recirculation dans l'enceinte . Les jets d'air des entrées se dirigent directement vers la cuve la plus près. L'écoulement au-dessus des cuves est non-stationnaire et celui au-dessus des entrées est stationnaire. Les lignes de courant obtenues à partir des vitesses expérimentales confirment cet écoulement. La vitesse de l'air au-dessus des cuves est de 0.13 ± 0.01 m/s.

Les isothermes ont été obtenues à partir des températures évaluées dans la maquette. Près du plancher, la proximité des entrées et des cuves produisent de forts gradients de température. Dans le haut de l'enceinte, la température de l'air est presque constante.

Le modèle mathématique a été utilisé sous trois conditions soient: sans modèle de turbulence, avec le modèle algébrique modifié et avec le modèle K-e-G. Les résultats de l'écoulement et des isothermes sont présentés à la figure 5. La simulation sans aucun modèle de turbulence indique que l'air ascendant au-dessus des cuves est décentré vers le coin intérieur des cuves et que la vitesse de l'air est égale à 0.32 m/s. Cette vitesse est trop élevée.


Figure 5 -  CAS 2: L'écoulement simulé (partie gauche)
	    et les isothermes simulées (partie droite)
	    a)	aucun modèle de turbulence
	    b)	modèle algébrique de turbulence
	    c)	modèle K-e-G de turbulence

Une modification a été apportée au modèle algébrique en ajoutant un terme pour la convection naturelle:

La valeur du paramètre ''dv'' a été fixée à 0.286 selon le cas 1 et la valeur du paramètre ''dt'' a été évaluée à 1.54 x 10-5 après plusieurs essais comme démontré au tableau 2.

TABLEAU 2

Cuves chaudes - la somme des carrés des erreurs de la fonction
		de courant et de la température

Le modèle algébrique prédit une vitesse de 0.14 m/s au-dessus des cuves, cette valeur correspond bien à la lecture expérimentale. De plus, l'air ascendant est bien centré au-dessus des cuves.

L'écoulement prédit par le modèle K-e-G est très similaire à l'écoulement obtenu par le modèle algébrique. La vitesse de l'air au-dessus des cuves est moins élevée et égale à 0.11 m/s. La constante C4 de ce modèle a été optimisée à une valeur de 0.6, ceci est très proche de la valeur de 0.5 utilisée par Plumb et Kennedy (1977).

Du côté des isothermes calculées, la simulation sans modèle de turbulence prédit des gradients trop forts pour l'air ascendant au-dessus des cuves. Le gradient de température au-dessus des cuves a diminué grâce au deuxième terme du modèle algébrique. Les températures du modèle K-e-G sont similaires à celles du modèle algébrique.

Ces simulations ont démontré clairement qu'un modèle de turbulence est nécessaire pour mieux représenter le profil d'écoulement et les isothermes observées dans la maquette (voir tableau 2). II semble aussi que le modèle K-e-G ainsi défini ne donne pas une meilleure solution que celle obtenue avec le modèle algébrique.

CAS 3: MURS OUVERTS ET CUVES CHAUDES-SANS VENT

Dans ce cas, les entrées aux murs ont été ouvertes et le débit d'air a été augmenté à 0.0123 m3/s. Le débit a été réparti comme suit: 28 % dans 1'entrée centrale au plancher, 16% dans chaque entrée latérale au plancher et 20% dans chaque entrée murale. Les débits aux entrées étaient symétriques à l'axe central de l'enceinte. Les cuves dégageaient de la chaleur dans l'enceinte.

Les résultats expérimentaux sont montrés à la figure 6. Les courants ascendants au-dessus des cuves sont encore dominants et non-stationnaires, mais suivent maintenant une trajectoire inclinée vers l'axe central de l'enceinte selon le profil d'écoulement observé. II y a deux grandes boucles de recirculation sous le plafond et près des murs ainsi que deux petites boucles de recirculation au-dessus de l'entrée centrale.

Les isothermes expérimentales démontrent que la température sous le plafond est presque constante. Les gradients de température près des cuves sont élevés et les trois zones près des entrées sont demeurées relativement froides.

Les résultats expérimentaux ont été comparés aux simulations avec les modèles de turbulence, lesquels ont été 'calibrés' dans le cas précédents. Les résultats simulés sont montrés à la figure 7.


Figure 6 - CAS 3: Les résultats expérimentaux
	   a)	profil d'écoulement expérimental
	   b)	isothermes expérimentales

Le modèle algébrique reproduit bien l'écoulement d'une manière générale, mais les jets d'air provenant des entrées murales sont trop dominants par rapport aux courants d'air chaud au-dessus des cuves. En effet, l'air chaud est trop poussé vers l'axe central et l'effet de la convection naturelle a été sous-évalué. Le modèle K-e-G a reproduit presque le même écoulement que le modèle algébrique, sauf que la circulation des grandes boucles est plus rapide et plus symétrique.

Figure 7 -  CAS 3: L'écoulement simulé (partie gauche)
	    et les isothermes simulées (partie droite)
	    a)	modèle algébrique de turbulence
	    b)	modèle K-e-G de turbulence

Les isothermes simulées par le modèle algébrique démontrent que les grandes boucles de recirculation sont trop froides d'environ 2°C et que les petites boucles de recirculation sont trop chaudes d'environ 4°C. Le modèle K-e-G n'a pas apporté d'amélioration et a reproduit les mêmes défauts dans les isothermes que le modèle algébrique.

CAS 4: MURS OUVERTS ET CUVES CHAUDES-AVEC VENT DU CÔTÉ GAUCHE

Dans ce cas particulier, l'effet d'un vent sur l'enceinte a été reproduit à l'aide d'un conduit et d'un ventilateur sur l'entrée murale gauche; ce débit d'air a été réglé à 0.0142 m3/s. Le débit d'air aspiré à la sortie est demeuré constant à 0.0123 m3/s comme dans le cas précédent. Les débits d'air dans les autres ouvertures se sont distribués comme suit: ceux des deux entrées latérales sur le plancher étaient négligeables, celui dans l'entrée centrale sur le plancher a été réduit à 0.0008 m3/s et celui dans 1'entrée murale à droite était égal à -0.0027 m3/s. Cette dernière ouverture est donc devenue une sortie d'air.

L'écoulement et les isothermes dans l'enceinte ne sont plus symétriques à l'axe central. À partir des conditions aux limites imposées par les entrées et les sorties, les deux modèles de turbulence ont été utilisés pour reproduire cet écoulement.

La figure 8 montre la comparaison entre 1'écoulement observé et celui simulé. Le profil d'écoulement dans la maquette démontre l'effet dominant du jet d'air provenant de l'entrée murale gauche. Ce jet monte au-dessus de la cuve de droite avec des courants d'air chaud et forme une grande boucle de recirculation au-dessus de la cuve de gauche. II y a une petite boucle de recirculation près du mur à droite. L'écoulement au-dessus de la cuve de droite est demeuré non-stationnaire.

Le modèle algébrique a simulé la grande boucle de recirculation, mais n'a montré aucun effet de la convection naturelle au-dessus de la cuve à droite. De plus, la petite boucle de recirculation n'a pas été prédite. Le modèle K-e-G a calculé presque le même profil d'écoulement que le modèle algébrique.

La figure 9 montre la comparaison entre les isothermes évaluées et celles simulées. Dans la maquette, les températures sont froides à gauche et chaudes à droite de l'enceinte. Selon le modèle algébrique, la température de la grande boucle de recirculation est plus basse d'environ 5°C que les résultats expérimentaux. Les isothermes du modèle K-e-G sont semblables à celles du modèle algébrique, mais l'air au-dessus de l'entrée centrale est plus froid d'environ 4°C. Ce modèle n'a pas apporté les améliorations espérées.


Figure 8 - CAS 4: L'écoulement
	  a) profil d'écoulement expérimental
	  b) profil d'écoulement simulé, modèle algébrique
             de turbulence
	  c) profil d'écoulement simulé, modèle K-e-G de
             turbulence

Discussion

L'étude expérimentale de la maquette d'une salle de cuves a démontré que l'écoulement semble non-stationnaire à certains endroits et stationnaire dans d'autres. Tous les cas ont démontré ce type d'écoulement. Quand les cuves étaient froides, on a même observé deux écoulements différents: l'un légèrement stable et l'autre bien stable.

Figure 9 - CAS 4: Les isothermes
	   a) isothermes expérimentales
	   b) isothermes simulées, modèle algébrique
              de turbulence
	   c) isothermes simulées, modèle K-e-G de
              turbulence

Une méthode transitoire a été utilisée dans l'espoir de simuler cet écoulement non-stationnaire. Le modèle mathématique sans ou avec utilisation du modèle de turbulence a réussi à simuler l'écoulement d'une manière ultra-stable sans souligner la nature transitoire de l'écoulement. Cette stabilité provient possiblement de la diffusion numérique.

À cause du nombre de Grashof élevé et des observations de la turbulence dans la maquette, deux modèles de turbulence ont été appliqués dans les simulations et les résultats ont été certainement améliorés. Toutefois, ces deux modèles, soient le modèle algébrique modifié ou le modèle différentiel, ont presque donné les mêmes résultats et les mêmes divergences en comparaison aux résultats expérimentaux.

D'autres auteurs ont aussi constaté que le modèle différentiel apporte peu d'amélioration sur le modèle algébrique, mais il demeure quand même plus universel pour les écoulements divers (Peck et Samuelsen, 1976; Pletcher, 1978; Emery et al., 1980; Thompson et al., 1985). De plus, les coûts du temps de calcul sont très différents, si ceux-ci sont faits à partir de zéro (Yang et Lloyd, 1985).


Si les calculs sont faits à partir d'une solution voisine, la différence entre les coûts des modèles de turbulence est réduite d'environ 50%. Étant donné que le coût d'utilisation du modèle différentiel est bien élevé, il semble plus avantageux présentement de faire des simulations industrielles sur des écoulements turbulents avec le modèle algébrique modifié. Même la modélisation de la turbulence par une viscosité constante peut fournir de bons résultats (Markatos et al., 1982). Plusieurs autres travaux de recherches seront nécessaires dans le but de trouver un modèle de turbulence efficace pour la convection mixte (Kurabuchi et Kusuda, 1987).

Le maillage utilisé dans ces simulations a été d'environ 0.020 m. Cependant, l'échelle des écoulements non-stationnaires au?dessus des cuves a été d'une grandeur de 0.004 à 0.120 m selon les observations dans la maquette. On devrait augmenter le nombre de noeuds par un facteur de 100 pour mieux cerner le profil d'écoulement non?stationnaire. Cette augmentation diminuerait aussi la diffusion numérique. Mais quelques essais ont démontré que le coût augmente alors par un facteur 10 quand le nombre de noeuds augmente par un facteur 4 seulement. Plusieurs auteurs ont augmenté le maillage près des parois seulement afin de mieux représenter les gradients élevés (Kuhlbeck et al., 1980; Markatos et Pericleous, 1984). Toutefois, cette approche ne serait pas adéquate pour une géométrie et un écoulement aussi complexe que celui d'une salle de cuves. II semble donc nécessaire de travailler sur un super?ordinateur et d'améliorer les méthodes numériques pour ce type de problème.

Conclusion

L'écoulement turbulent de l'air dans une enceinte d'une géométrie complexe a été simulé par un modèle mathématique.

Deux modèles de turbulence ont été essayés pour représenter la turbulence, soient un modèle algébrique modifié pour la convection naturelle et le modèle différentiel K-e-G. Les résultats de ces simulations ont été comparés aux mesures expérimentales prises dans une maquette de la même géométrie.

Dans cette étude, le modèle algébrique modifié a donné des résultats aussi précis et moins coûteux que ceux du modèle K-e-G. Pour ce type de simulation industrielle en maillage grossier, on recommande l'utilisation du modèle algébrique modifié.

La poursuite de ce genre d'étude pourrait développer et valider des modules de turbulence fiables et économiques pour les écoulements en convection mixte en deux et même trois dimensions.

Remerciements

Les auteurs tiennent à remercier la compagnie Alcan International Limitée pour son appui financier et technique au projet de recherche ainsi que le Conseil de Recherches en Sciences Naturelles et en Génie pour les mêmes raisons et pour une bourse d'études accordée à Monsieur Dupuis.

Nomenclature

Symboles grecs

Bibliographie

  • Anderson, D. A., J. C. Tannehill and R. H. Pletcher, "Computational Fluid Mechanics and Heat Transfer", Hemisphere Publishing Corporation, New York (1984).
  • Blay, D., J.-L. Thuhault and P. Joubert, "Modelling Smoke Movement in Corridors" in "New Technology to Reduce Fire Losses and Costs", Luxembourg, October 1986. Publisher: Elsevier Applied Science, New York, pp. 73-77 (1986).
  • Bradshaw, P., T. Cebeci and J. H. Whitelaw, "Engineering Calculation Methods for Turbulent Flow", Academic Press, London (1981).
  • Dupuis, M., J. C. Méthot et E. Dernedde, "Simulation mathématique de la circulation de l'air dans une enceinte avec ouvertures et sources chaudes localisées", Can. J. Chem. Eng. 63, 155-161 (1985).
  • Emery, A. F., P. K. Neighbors and F. B. Gessner, "The Numerical Prediction of Developing Turbulent Flow and Heat Transfer in a Square Duct", ASME J. Heat Transfer 102, 51-57 (1980).
  • Gray, D. D. and A. Giorgini, "The Validity of the Boussinesq Approximation for Liquids and Gases", Int. J. Heat Mass Transfer 19, 545-551 (1976).


  • Humphrey, J. A. C. and W. M. To, "Numerical Simulation of Buoyant, Turbulent Flow-II Free and Mixed Convection in a Heated Cavity", Int. J. Heat Mass Transfer 29, 593-610 (1986).
  • Kuhlbeck, K., G. P. Merker and J. Straub, "Advanced Numerical Computation of Two-Dimensional Time-Dependent Free Convection in Cavities", Int. J. Heat Mass Transfer 23, 203-217 (1980).
  • Kumar, S., "Mathematical Modelling of Natural Convection in Fire -A State off the Art Review", Fire and Materials 7, 1-24 (1983).
  • Kurabuchi, T. and T. Kusada, "Numerical Prediction for Indoor Air Movement", ASHRAE Journal 29, 26-30 (December 1987).
  • Launder, B. E. and D. B. Spalding, "Mathematical Models of Turbulence", Academic Press, London (1972).
  • Markatos, N. C., M. R. Malin and G. Cox, "Mathematical Modelling of Buoyancy-Induced Smoke Flow in Enclosures", Int. J. Heat Mass Transfer 25, 63-75 (1982).
  • Markatos, N. C. and K. A. Pericleous, "Laminar and Turbulent Natural Convection in an Enclosed Cavity", Int. J. Heat Mass Transfer 27, 755-772 (1984).
  • Nielsen, P. V., A. Restivo and J. H. Whitelaw, "Buoyancy-Affected Flows in Ventilated Rooms", Numerical Heat Transfer 2, 115-127 (1979).
  • Patankar, S. V., E. M. Sparrow and M. Ivanovic, "Thermal Interactions among the Confining Walls of the Turbulent Recirculating Flow", Int. J. Heat Mass Transfer 21, 269-274 (1978).
  • Peck, R. E. and G. S. Samuelsen, "Eddy Viscosity Modelling in the Prediction of Turbulent, Backmixed Combustion Performance", The Combustion Institute, 16th Int. Symposium on Combustion, pp. 1675-1687 (1976).
  • Piva, R. and P. Orlandi, "Numerical Solutions for Atmospheric Boundary Layer Flows over Street Canyons", R. D. Richtmeyer, Ed., Springer-Verlag, New York, Proceedings of the Fourth Int. Conference "Numerical Methods in Fluids Dynamics", pp. 319-325 (1975).
  • Pletcher, R. H., "Prediction of Incompressible Turbulent Separating Flow", ASME Fluids Engineering 100, 427-433 (1978).
  • Plumb, O. A. and L. A. Kennedy, "Application of a K-e Turbulence Model to Natural Convection from a Vertical Isothermal Surface", ASME J. Heat Transfer 99, 79-85 (1977).
  • Rodi, W., "Turbulence Models and their Application in Hydraulics-A State of the Art Paper", Int. Association for Hydraulic Research, Delft, The Netherlands, pp. 1-99 (1979).
  • Spalding, D. B., "Concentration Fluctuations in a Round Turbulent Free Jet", Chemical Engineering Science 26, 95-107 (1971).
  • Sparrow, E. M. and F. Samie, "Interaction Between a Stream which Passes Through an Enclosure and Natural Convection within the Enclosure", Int. J. Heat Mass Transfer 25, 1489-1502 (1982).
  • Thompson, C. P., N. S. Wilkes and I. P. Jones, "Numerical Studies of Buoyancy Driven Turbulent Flow in a Rectangular Cavity", R. W. Lewis, K. Morgan, Eds., Pineridge Press, Swansea, Proceedings of the Fourth Int. Conference "Numerical Methods in Thermal Problems", pp. 353-364 (1985).
  • Yang, K. T. and J. R. Lloyd, "Turbulent Buoyant Flow in Vented Simple and Complex Enclosures", Kakac, S., W. Aung, R. Viskanta, Eds., "Natural Convection - Fundamentals and Applications", Hemisphere Publishing Corporation, pp. 303-329 (1985).